1.1 Objectives of Environmental Monitoring and Audit (EM&A)
1.1.1 The objectives of carrying out EM&A for SWC are:
· To provide a database against which any short or long term
environmental impacts of the Project can be determined;
· To provide an early indication should any of the environmental control
measures or practices fail to achieve acceptable standards;
· To monitor the performance of the Project and the effectiveness of mitigation
measures;
· To verify the environmental impacts predicted in the EIA Study;
· To determine project compliance with regulatory requirements, standards and
government policies;
· To take remedial action if unexpected problems or unacceptable impacts arise;
and
· To provide data to enable an environmental audit.
1.1.2 In accordance with the Study Brief requirements, a real-time reporting of monitoring data for the Project through a dedicated internet website should be adopted.
1.2.1 The purpose of this EM&A Manual is to provide guidelines to setup an EM&A programme. The implementation of EM&A aims to ensure that the construction and operation of the SWC project are in compliance with the recommendations in the EIA study; to assess the effectiveness of the recommended mitigation measures; and to identify any further need for additional mitigation measures or remedial action. This Manual outlines the monitoring and audit programme to be undertaken for the construction and operation of the SWC. The Manual provides systematic procedures for monitoring, auditing and minimising the environmental impacts associated with the construction and operation works.
1.2.2 Hong Kong environmental regulations for air quality, water quality, noise, and waste; the Hong Kong Planning Standards and Guidelines (HKPSG); and recommendations in the EIA Report have served as environmental standards and guidelines in the preparation of this Manual.
1.2.3 This Manual contains the following:
(1) duties of the Environmental Team (ET) with respect to the environmental
monitoring and audit requirements during construction;
(2) information on project organisation and programming of construction and
operational activities for the project;
(3) requirements with respect to the construction and operation schedule and the
necessary environmental monitoring and audit programme to track the varying
environmental impact;
(4) definition of Action and Limit levels;
(5) establishment of event and action plans;
(6) requirements of reviewing pollution sources and working procedures required
in the event of non-compliance of the environmental criteria; and
(7) requirements of presentation of environmental monitoring and audit data and
appropriate reporting procedures.
1.2.4 For the purpose of this Manual, the "Engineer" should refer to the Engineer as defined in the Contract and the Engineer's Representative (ER), in cases where the Engineer's powers have been delegated to the ER, in accordance with the Contract. The ET leader, who should be responsible for and in charge of the ET, should refer to the person delegated the role of executing the environmental monitoring and audit requirements.
1.3.1 The Shenzhen Western Corridor (SWC) is a proposed highway route linking the proposed Deep Bay Link (DBL) to the Mainland. It would be the fourth boundary road crossing providing relief to the traffic congestion at the existing boundary crossings. The s-curve bridge alignment has been selected as the preferred option. Figure EM1.1 shows the location plan of the SWC.
1.3.2 The responsibility for implementing the portion of the SWC within Hong Kong Special Administrative Region (HKSAR) shall rest with the Government of the HKSAR (HKSARG). However, before this division of responsibility was determined, the Mainland authorities had already conducted some engineering feasibility studies on the SWC since 1995. In this regard, a number of different alignment options for the SWC had been considered. As regards the structural form of the crossing, the investigation mainly covered the elevated structure option and only few covered the tunnel option.
1.3.3 The HKSARG had also conducted a series of studies on this fourth boundary road crossing and in this process, several landing points of the SWC on the HKSAR coastline had been examined. The related studies carried out by HKSARG included the following:
(i) Review of Hong Kong's Capacity to cope with Additional
Traffic Movement associated with the Proposed New Cross-Border Transport Links (Crosslinks)
Study - 1996
(ii) Feasibility Study for Additional Cross-border Links, Stage 1 (Crosslinks
Further Study Stage 1) - 2000
(iii) Feasibility Study for Additional Cross-border Links, Stage 2 (Crosslinks
Further Study Stage 2) - 2000
(iv) Deep Bay Link - Investigation and Preliminary Design - started in 1999 and
is still in progress.
1.3.4 On 21st August 2001, Highways Department of the HKSARG commissioned Ove Arup & Partners Hong Kong Limited as the Consultants to undertake the Investigation and Planning Assignment of Shenzhen Western Corridor under Agreement No. CE 39/2001.
1.3.5 The study area envelope for the proposed alignment covers a corridor in Deep Bay and a strip of land along northwestern coast of New Territory of HKSAR. Both elevated structure and tunnel options had been considered in earlier studies and the structural form of the highway is assumed to be an elevated structure.
1.3.6 The section of the highway within the HKSAR waters is about 3.2km in length and will be connected to the portion of about 2km in length to be provided by the Shenzhen authorities. The proposed landing location of the bridge in Shenzhen will be located at Dongjiaotou. The proposed highway will be connected to Deep Bay Link on the Hong Kong side. Under the Deep Bay Link project, there would be two landing locations of the highway on the Hong Kong side. One alternative is at Ngau Hom Shek and the other at Ngau Hom Sha. The north alignment, which connects between Dongjiaotou and Ngau Hom Shek, is a bridge option. The south alignment, which connects between Dongjiaotou and Ngau Hom Sha, is a tunnel option. All the permanent works for the SWC project will mostly be located offshore with certain activities to be carried out on land in the works areas and along the access roads.
EIA Requirements
1.3.7 Since the project is a Designated Project under the Environmental Impact Assessment Ordinance (EIAO) by virtue of Section A.1 or Q.1 of Schedule 2 under the Ordinance, the EIA study has to satisfy the EIAO requirements and to obtain an Environmental Permit for the Project.
1.3.8 For the EIA study, the objectives as specified in Clause 2.1 of the Study Brief are:
(i) to describe the proposed Project and associated works
together with the requirements for carrying out the Project;
(ii) to identify and describe elements of community and environment likely to be
affected by the Project and/or likely to cause adverse impacts to the Project,
including natural and man-made environment and the associated environmental
constraints;
(iii) to consider alternatives with a view of avoiding and minimizing the
potential environmental impacts to the ecological sensitivity areas in Deep Bay
and other sensitive uses; to compare the environmental benefits and dis-benefits
of each of the different options; to provide reasons for selecting the preferred
option(s) and to describe the part of environmental factors played in the
selection;
(iv) to identify and quantify emission sources and determine the significance of
impacts on sensitive receivers and potential affected uses;
(v) to identify and quantify any potential landscape and visual impacts and to
propose measures to mitigate these impacts;
(vi) to identify and quantify any potential losses or damage to flora, fauna and
natural habitats and to propose measures to mitigated these impacts;
(vii) to identify any negative impacts on site of cultural heritage and to
propose measures to mitigate these impacts;
(viii) to propose the provision of mitigation measures so as to minimize
pollution, environmental disturbance and nuisance during construction and
operation of the Project;
(ix) to investigate the feasibility, practicability, effectiveness and
implications of the proposed mitigation measures;
(x) to identify, predict and evaluate the residual environmental impacts (i.e.
after practicable mitigation) and the cumulative effects expected to arise
during the construction and operation phases of the Project in relation to the
sensitive receivers and potential affected uses;
(xi) to identify, assess and specify methods, measures and standards, to be
included in the detailed design, construction and operation of the Project which
are necessary to mitigate these environmental impacts and cumulative effects and
reduce them to acceptable levels;
(xii) to investigate the extent of the secondary environmental impacts that may
arise from the proposed mitigation measures and to identify constraints
associated with the mitigation measures recommended in the EIA study, as well as
the provision of any necessary modification; and
(xiii) to design and specify environmental monitoring and audit requirements to
ensure the effective implementation of the recommended environmental protection
and pollution control measures.
1.4 Environmental Monitoring and Audit Requirements
1.4.1 The construction and operational phase impacts of the project have been assessed and presented in the EIA Report. The EIA Report has specified the recommended environmental mitigation measures to minimise the potential adverse environmental impacts identified. An implementation schedule of the recommended environmental mitigation measures is prepared as part of the EIA Study and is contained in Appendix A of this Manual.
1.4.2 In order to ensure that the mitigation measures recommended in EIA Report are fully implemented and resulted in the expected effectiveness, this Manual defines the scope of EM&A requirements for the construction and operation of the SWC to achieve satisfactory environmental performance. The EM&A requirements are prepared in accordance with the requirements stipulated in Annex 21 of the TM on EIA Process.
Summary of Areas Required EM&A
1.4.3 The EIA for this Project assesses the construction and
operational phase impacts in the following areas:
· Air Quality
· Noise
· Water Quality
· Waste Management
· Ecology
· Fisheries
· Hazard to Life
· Cultural Heritage
· Landscape and Visual
1.4.4 Environmental monitoring will also be implemented by the Shenzhen side to ensure that the construction of SWC within the Mainland boundary would be in compliance with the Mainland environmental standards. It has been established between Highways Department and the Shenzhen authorities that a formal channel will be set up between the two offices for the SWC project to deal with any environmental problems arising from the future construction activities. Prior to the commencement of the SWC construction work, Highways Department and the Shenzhen authorities will organise liaison meetings to discuss all the engineering and environmental aspects related to the SWC project. Organizational structures at the project team level and site management level including contact persons and their roles, telephone numbers, responsibilities, etc will be established. Under the organizational structures, issues related to cross-boundary environmental pollution problems that may arise from SWC construction will be dealt with. The communication channel between HyD and SWCPO is shown below:

1.4.5 The EM&A requirements for the environmental issues within the Hong Kong boundary are summarized below. The findings of EIA showed that impacts from fisheries, hazard to life and cultural heritage would be acceptable. Monitoring and audit of such impacts are not required, providing that the recommended mitigation measures are to be implemented. Details of the monitoring procedures and requirements are presented in the following sections of this EM&A Manual.
Air Quality
1.4.6 Dust mitigation measures together with a dust monitoring program should be timely implemented to ensure that dust emissions generated from the Project during construction phase are effectively mitigated to minimise the associated impacts at nearby sensitive receivers.
Noise Impact
1.4.7 It is to ensure that the mitigation measures are timely implemented and that the noise sensitive receivers are protected effectively by the proposed measures. In addition, noise monitoring during both construction and operational phases should be carried out to detect the magnitude of impacts so as to undertake corresponding rectifying actions.
Water Quality
1.4.8 Water quality monitoring in the areas near the proposed bridge alignment during the construction phase of the SWC project is required to ensure that the water quality is within acceptable levels and is not significantly affected by the construction activities, e.g. construction of bridge piers. Monitoring of effluents discharging from the construction sites is also required during the construction phase of the Project.
1.4.9 Contract documents for the Project should incorporate the mitigation measures for water pollution control. Auditing of the implementation and effectiveness of the mitigation measures needs to be performed periodically.
Waste Management
1.4.10 Auditing of each waste stream should be carried out periodically by the SWC contractor to determine if wastes are being managed in accordance with approved procedures and the Waste Management Plan. The audits should cover all aspects of waste management including waste generation, storage, recycling, treatment, transport, and disposal.
Ecology
1.4.11 Ecological monitoring is recommended during both construction and operational phases of the SWC. The mitigation measures should be included into contract clauses for SWC construction. The implementation of the measures should be audited as part of the EM&A procedures during the construction period.
Landscape and Visual
1.4.12 Landscape and visual mitigation measures should be implemented and monitored to ensure that vegetation and visual sensitive receivers are protected effectively by the proposed measures. This should occur during both the construction and operation phases in accordance with the mitigation measures outlined in this report.
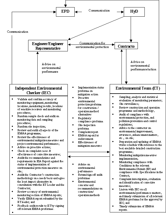
1.5.1 The project organisation and lines of communication with respect to environmental protection works are shown in Figure EM1.2. The roles and responsibilities of the various parties involved are described in following sections.
Environmental Team (ET)
1.5.2 The ET leader and the ET should not be in any way an associated body of the Contractor. The ET should be led and managed by the ET leader. The ET leader shall be the person who has at least 7 years' experience in EM&A or environmental management.
1.5.3 Suitably qualified staff should be included in the ET, and resources for the implementation of the EM&A programme should be allocated in time under the Contract, to enable fulfilment of the project's EM&A requirements as specified in the EM&A Manual during construction and operation.
1.5.4 The ET leader and the ET are employed to conduct the EM&A programme and ensure the Contractor's compliance with the project's environmental performance requirements during construction and operation. The duties are:
(a) sampling, analysis and statistical evaluation of
monitoring parameters with reference to the EIA Report, and recommendations and
requirements;
(b) environmental site surveillance;
(c) audit of compliance with environmental protection, and pollution prevention
and control regulations;
(d) monitor the implementation of environmental mitigation measures;
(e) monitor compliance with Conditions in the relevant Environmental Permit (EP)
and compliance with Specifications in the Contract;
(f) review construction and operation programme and comment as necessary;
(g) review construction and operation methodology and comment as necessary;
(h) preparation and updating of EM&A works schedule with reference to the
best available detailed construction programme;
(i) complaint investigation, evaluation and identification of corrective
measures;
(j) liaison with Independent Environmental Checker (IEC) on all environmental
performance matters, and timely submission of all relevant EM&A proforma for
the approval by IEC;
(k) advice to the Contractor on environment improvement, awareness, enhancement
matters, etc., on site and
(l) timely submission of the EM&A report to the project proponent and the
DEP.
1.5.5 Site inspections should be carried out by the ET at least once per week. Ad hoc site inspections should also be carried out if significant environmental problems are identified.
Contractor
1.5.6 The term "Contractors" should be taken to mean all construction contractors, operators during the operational phase of SWC and sub-contractors, working on site at any one time. Besides reporting to the Engineer, the Contractors should:
(a) work within the scope of the relevant contract and other
tender conditions;
(b) participate in the site inspections undertaken by the ET, as required, and
undertake any correction actions instructed by the Engineer;
(c) provide information/advice to the ET regarding works activities which may
contribute, or be continuing to the generation of adverse environmental
conditions;
(d) implement measures to reduce impact whenever Action and Limit Levels are
exceeded; and
(e) take responsibility and strictly adhere to the guidelines of the EM&A
programme and complementary protocols developed by their project staff.
Engineer or Engineer's Representative (ER)
1.5.7 The term Engineer, or Engineer's Representative, refers
to the organisation responsible for overseeing the construction works or
operation of the SWC and 'monitoring' the works undertaken by the various
Contractors, and for ensuring that they are undertaken by the Contractors in
accordance with the specification and contractual requirements. The ER should:
(a) monitor the Contractors' compliance with contract specifications, including
the implementation and operation of environmental mitigation measures and ensure
their effectiveness, and other aspects of the EM&A programme;
(b) comply with the agreed Event and Action Plan in the event of any exceedance;
(c) provide assistance to the ET as necessary in the implementation of the
environmental monitoring and auditing programme; and
(d) instruct the Contractors to follow the agreed protocols or those in the
Contract Specifications in the event of exceedances or complaints.
Independent Environmental Checker (IEC)
1.5.8 The IEC should not be in any way an associated body of the Contractor or the ET for the Project.
1.5.9 Given the potential public concern of the environmental performance of the proposed SWC, the IEC can serve as an individual independent of the Contractors to audit the overall EM&A program and report to the ER and HyD directly.
1.5.10 The IEC should advise the ER on environmental issues related to the project. The role of the IEC should be independent from the management of construction works, but the IEC should be empowered to audit the environmental performance of construction and operation.
1.5.11 The IEC should be employed prior to commencement of construction of the SWC. The IEC should have at least 7 years experience in EM&A or environmental management. The appointment of the IEC is subject to the approval of the ER.
1.5.12 The IEC should audit the overall EM&A programme including the implementation of all environmental mitigation measures, submissions relating to EM&A, and any other submission required under this Manual.
1.5.13 In addition, the IEC should be responsible for verifying the environmental acceptability of permanent and temporary works, and relevant design plans and submissions under this Manual.
1.5.14 The IEC should arrange and conduct at least monthly general site inspections of the SWC during the construction and operational periods. Ad hoc site inspections should also be carried out if significant environmental problems are identified.
1.5.15 The IEC should ensure the impact monitoring is conducted according to the prescribed schedule at the correct locations.
1.5.16 The IEC should report the findings of the site inspections and other environmental performance reviews to HyD and EPD.
1.5.17 Appropriate resources should also be allocated under the Contractor and the ER to fulfil their duties specified in this Manual.
1.5.18 The main duty of the IEC is to carry out environmental audit of the construction and operation of the SWC; this should include, inter alia, the followings:
(a) review and audit all aspects of the EM&A programme;
(b) advise on proactive actions;
(c) validate and confirm the accuracy of monitoring results, monitoring
equipment, monitoring locations, monitoring procedures and locations of
sensitive receivers;
(d) carry out random sample check and audit on monitoring data and sampling
procedures, etc.;
(e) conduct random site inspection;
(f) audit the recommendations and requirements in EIA Report against the status
of implementation of environmental protection measures on site;
(g) review the effectiveness of environmental mitigation measures and project
environmental performance;
(h) on a needs basis, audit the Contractor's construction methodology and agree
the least impact alternative in consultation with the ET Leader and the
Contractor;
(i) check complaint cases and the effectiveness of corrective measures;
(j) review accuracy of environmental monitoring section of EM&A reports;
(k) verify EM&A report submitted by the ET leader;
(l) feedback audit results to ET by signing off relevant EM&A proformas.
Figure EM1.2 Project Organisation (EM&A)

1.6.1 The construction work of SWC is scheduled to commence in August 2003 and completed by end of 2005. Figure EM1.3 shows the tentative construction programme of the SWC. This programme is for information of the ET leader to get an initial idea of the projection of the works. Due to the complicated land resumption requirements and limited geotechnical data, only a broad bush forecast of the construction schedule is available at this preliminary design stage. Figure EM1.4 also shows the programming phasing of the overall bridge construction.
1.6.2 The ET leader should make reference to the actual works progress and programme during the construction stage to schedule the EM&A works, and the Contractor should provide the respective information to the ET leader for formulating the EM&A schedule.
1.6.3 The ET leader shall update the EM&A schedule in the baseline/monthly EM&A report submissions, as necessary when the construction programme is updated. A works programme chart with environmental mitigation measures milesones shall be used to illustrate details of the EM&A schedule.