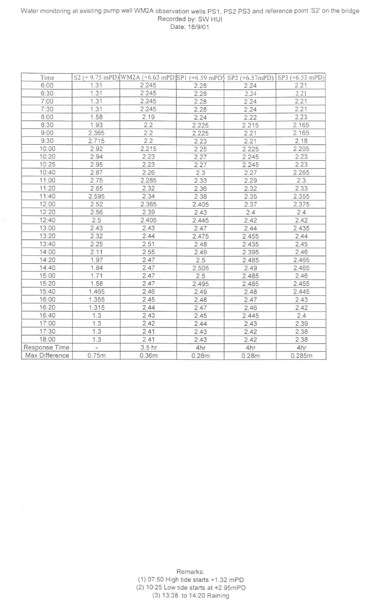
BACK TO APPENDIX A3.1