1.4
Results
Globally
Threatened Species
Black-faced Spoonbill Platalea Minor
Status
1.4.1 The Black-faced Spoonbill is a globally threatened species. It is listed as Endangered by BirdLife International (2000, 2001). This is a lower risk category than given by Collar et al. (1994), who listed the species as Critical. This improved status is a reflection of increased numbers recorded during the 1990s. (BirdLife International 2000, Anon 2001). The world population in 1988-89 was estimated to be 288 individuals (Kennerley 1990); the most recent estimate, for winter 2000-01, was of 800 (Dahmer and Felley 2001). The number of birds wintering in Hong Kong has increased in parallel, from 50 birds during the winter of 1989-90 (Kennerley 1990) to a peak of 252 birds during the winter of 2000-01 (AEC 2001) (Table 2, Figure 4).
Table
2
The
known world population and maximum counts in
Hong
Kong of Black-faced Spoonbill 1988-89 to 2000-01
|
Winter |
Known world population |
Maximum count in Hong Kong |
Maximum count in Hong Kong as a percentage of known world population |
|
1988-89 |
2881 |
47 |
16.3 |
|
1989-90 |
n.a. |
50 |
- |
|
1990-91 |
n.a. |
42 |
- |
|
1991-92 |
n.a. |
57 |
- |
|
1992-93 |
n.a. |
62 |
- |
|
1993-94 |
339 |
73 |
21.5 |
|
1994-95 |
422 |
78 |
18.5 |
|
1995-96 |
541 |
99 |
18.3 |
|
1996-97 |
522 |
124 |
23.8 |
|
1997-98 |
613 |
138 |
22.5 |
|
1998-99 |
586 |
152 |
25.9 |
|
1999-00 |
660 |
164 |
24.8 |
|
2000-01 |
835 |
252 |
30.2 |
1 Estimated population in 1988-90 (Kennerley 1990).
Figure 4
World and Hong
Kong wintering populations of
Black-faced
Spoonbill 1989-90 to 2000-01

1.4.2 Despite this increase in the world population, the current categorization as Endangered by BirdLife International (2000, 2001) equates to a 20% probability of extinction within 20 years. In Hong Kong it is a common winter visitor to Deep Bay, scarce in summer (Carey et al. 2001).
1.4.3 Recent studies on the species have shed light on migration (Ueta et al. in press) and age structure (AEC 2001).
1.4.4 The Black-faced Spoonbill was listed as 'known or likely to occur within 500 m of the proposed route of the Sheung Shui to Lok Ma Chau Spurline' (Binnie 1999). However, ERM (1999) found no records of this species within the study area. Anon (1999) detailed one record within the study area; five birds feeding on a drained fishpond for 15 minutes on 18 November 1998.
Status during the baseline surveys
Lok Ma Chau
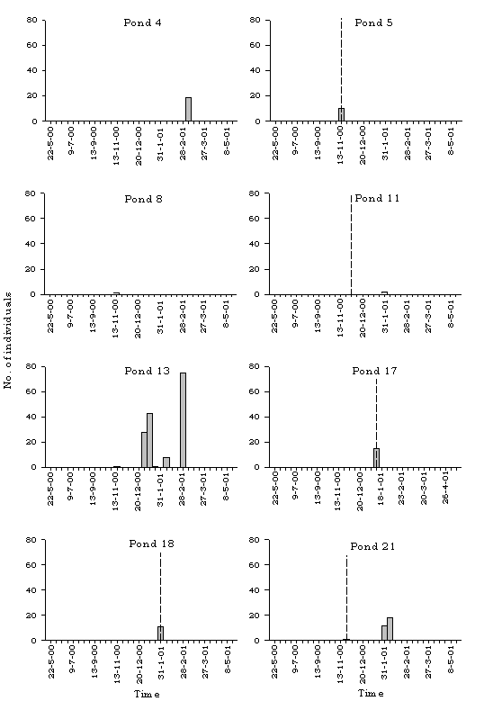
1.4.5 During the winter of 2000-01 Black-faced Spoonbills were found regularly in the Lok Ma Chau area (Figures 5, 6). The peak count of 75 birds on 28 February 2001 represents 30% of the Hong Kong wintering population, and 9% of the world population. Distribution and average number per visit is shown in Figure 50.
Black-faced Spoonbill -
Number of individuals per visit at
Lok Ma Chau and San Tin
winter 2000-01

Black-faced Spoonbill - Number of flying birds per visit
(i.e. additional to Figure 5 above) at
Lok Ma Chau and San Tin winter 2000-01

1.4.6 Black-faced Spoonbills were recorded using 13 fishponds in the Lok Ma Chau area. The relationship between drain down of ponds and usage at Lok Ma Chau is shown in Figure 7.
Black-faced Spoonbill
utilisation of individual fishponds at
Lok Ma Chau winter 2000/01
(vertical broken line denotes drain down date)


1.4.7 The regular use of fish ponds in Lok Ma Chau contrasts with winter 1999-2000 when there were only three Black-faced Spoonbill observations in the Lok Ma Chau area, only one of which fell within 500 m. of the proposed station site (Anon 1999). The increased use of the Lok Ma Chau area during winter 2000-01 is considered to have been a combination of two factors: the increase in the number of Black-faced Spoonbills wintering in Hong Kong (Figure 4) and their opportunistic use of the large number of fish ponds that were drained down by tenant farmers prior to their leaving the area to make way for the station project. Opportunistic use of drained down ponds is typical behaviour of Black-faced Spoonbills and Ardeids as they are able to take advantage of the temporary abundance of fish and shrimps in the shallow water.
1.4.8 While not all ponds utilised by Black-faced Spoonbills at Lok Ma Chau had been drained, 9 out of 14 (64%) had been drained.
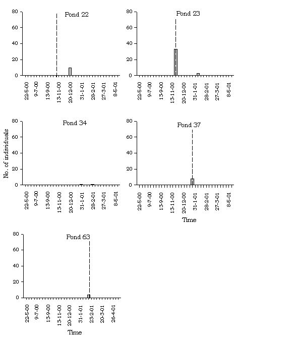
San Tin
1.4.9 Numbers of Black-faced Spoonbills at San Tin were notably lower than at Lok Ma Chau. The highest count was 11 on both 20 December 2000 and 31 January 2001. Birds were recorded from seven ponds in the San Tin area (Figure 8), of which six (85%) had been drained. Distribution and average number per visit is shown in Figure 50.
Black-faced Spoonbill utilisation of individual fishponds at
San Tin winter 2000/01 (vertical broken line denotes drain down
date)

Long Valley
1.4.10 No records.
Greater Spotted Eagle Aquila clangula
Status
1.4.11 The Greater Spotted Eagle is listed as Vulnerable by BirdLife International (2000, 2001). It is a winter visitor to the northern New Territories, and is mainly recorded between the end of October and the end of March (Carey et al. 2001). An apparent peak in the second week of January has been attributed to greater coverage of Deep Bay during the main winter waterfowl count rather than an actual increase. Most reports are of one or two birds, occasionally three or four; six at Mai Po on 14 November 1990 is the highest single-site count, though aggregates of six were also recorded in coordinated Deep Bay waterfowl counts on 16 January 1994 and 11 January 1997. Extreme dates are 11 October 1959 and 9 April 1988 (Carey et al. 2001).
Status during the baseline surveys
Lok Ma Chau
1.4.12 Although there were no sightings at Lok Ma Chau of Greater Spotted Eagle during the dedicated Eagle surveys, as can be seen from Figure 9, during the standard baseline surveys there was a single record from Lok Ma Chau.
San Tin
1.4.13 Although there were no sightings at San Tin of Greater Spotted Eagle during the dedicated Eagle surveys, as can be seen from Figure 9, during the standard baseline surveys there were two records of single birds San Tin.
Long Valley
1.4.14 Not recorded.
Greater Spotted Eagle - Number of individuals per visit at
Lok Ma Chau and San Tin winter 2000-01
Results of Eagle Surveys
1.4.15 During the dedicated eagle surveys, this species exhibited a markedly uneven distribution within the study area. There was a clear concentration at Mai Po where the number of sightings per transect was higher than elsewhere (Figures 10 and 11). There were very few sightings north of Mai Po, with none at Lok Ma Chau (Figure 51).
Figure
10 (a) Average and (b) total sighting of Greater Spotted
Eagle, per Transect by Survey Area, November 2000 – March 2001


Site
abbreviations: LC=Lut Chau, LMC=Lok Ma Chau, MP=Mai Po, MTL= Ma Tso Lung,
NSW=Nam San Wai and TBT=Tsim Bei Tsui.
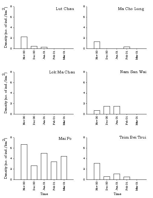
1.4.16 The lack of records at Lok Ma Chau is surprising, as numbers varied at each of the other sites during the period. However, some of these Eagles were observed at Lok Ma Chau during the Baseline Period (Figure 53). Figure 11 illustrates the variability in numbers at the six sites. This variability indicates that there is some exchange between the six sites. This was supported by the photo-identification work, which showed that some individuals ranged quite widely within the study area.
Density (no. of ind./km2) of GSE over time with sites
separated

1.4.17 The variability shown at each of the six sites during the winter is summarised below in Figure 11. This variability in numbers shows no real pattern. Although Carey et al. (2001) attribute a marked increase in numbers in January to greater observer coverage in the Deep Bay Area.

1.4.18 The lack of records at Lok Ma Chau area might suggest an avoidance of large fishpond areas. However, there was no statistical significance in the numbers of Greater Spotted Eagles recorded in areas of fishponds (Table 3). As can be seen from Table 3, significantly higher numbers of Greater Spotted eagles were found in managed wetlands (i.e. Mai Po), and creeks. There was also an avoidance of developed areas and secondary woodland/shrub land. The distribution of the various habitat types within the study area is shown in Figure 54.
Table 53
Greater Spotted Eagle - Mann-Whitney Test results –
a particular habitat vs all the other pooled habitats. Significant
values are bold.
|
Habitat |
c2 |
DF |
p |
Comparison |
|
Creek |
7.17 |
1 |
0.0074 |
Creek > others |
|
Developed area |
5.67 |
1 |
0.0172 |
Developed area < others |
|
Fish pond |
0.04 |
1 |
0.8424 |
Fish pond = others |
|
Inter-tidal mudflat |
1.65 |
1 |
0.1994 |
Inter-tidal mudflat = others |
|
Mangrove |
0.02 |
1 |
0.8754 |
Mangrove = others |
|
Managed wetland |
43.20 |
1 |
<
0.0001 |
Managed wetland > others |
|
Secondary woodland/ Shrub land |
9.02 |
1 |
0.0027 |
Secondary woodland/Shrub land < others |
Imperial Eagle Aquila heliaca
Status
1.4.19 A globally threatened species listed as Vulnerable by BirdLife International (2000, 2001). In Hong Kong it is a locally common winter visitor, with evidence of passage in February. Most records of Imperial Eagle have occurred from November to March, but it is also reported in some years in October and April and occasionally in the second half of September. Whilst the apparent peak in the second week of January is thought to reflect greater coverage of Deep Bay during the main midwinter waterfowl count, the peak in the second half of February may indicate passage. The earliest and latest dates are 18 September 1986 and 17 April 1994, both records involving single immatures at Mai Po. Most reports are of one to five birds, but ten or more, mainly birds loafing at Ma Tso Lung, have been recorded on seven dates, including 14 on 13 December 1996 and 11 January 1997 and, exceptionally, 21 moving east over Mai Po during 90 minutes on 27 February 1993 (Carey et al. 2001).
Status during the baseline surveys
Lok Ma Chau
1.4.20 During the standard baseline surveys, there was a single record from the Lok Ma Chau area (Figure 13), (also see below). Distribution in the Deep Bay Area is shown in Figure 52.
San Tin
1.4.21 During the standard baseline surveys, there were no records from the San Tin Chau area (Figure 13), (but also see below).
Number of individuals per visit at Lok Ma Chau and San Tin winter 2000-01
Long Valley
1.4.22 Not recorded.
Results from Eagle Surveys
1.4.23 During the dedicated eagle surveys twelve individual eagles were identified. Six or seven of these were present during most of the survey period, while the others were present for a shorter periods, including one that was only detected on one date. The distribution of this species within the study area was also markedly uneven. Like Greater Spotted Eagle, there was a clear concentration at Mai Po where the average number of sightings per transect was much higher than elsewhere (Figures 13, 52).
Fig.
13
(a)
average and (b) total no. of Imperial Eagle per Transect by Survey Area, November
2000 – March 2001
Site
abbreviations: LC=Lut Chau, LMC=Lok Ma Chau, MP=Mai Po, MTL= Ma Tso Lung,
NSW=Nam San Wai and TBT=Tsim Bei Tsui.