Appendix A

Appendix A

List of Figures :

  1. Figure 1(a): Daily mean temperature from 01/01/1995 to 30/06/1998
  2. Figure 1(b): Daily mean relative humidity from 01/01/1995 to 30/06/1998
  3. Figure 2(a): Daily mean of nitrogen dioxide (24-hr average) from 01/01/1995 to 30/6/1998 (average of seven monitoring stations)
  4. Figure 2(b): Daily mean of sulphur dioxide (24-hr average) from 01/01/1995 to 30/6/1998 (average of six monitoring stations)
  5. Figure 2(c): Daily mean of RSP (24-hr average) from 01/01/1995 to 30/6/1998 (average of five monitoring stations)
  6. Figure 2(d): Daily mean of ozone (8-hr average) from 01/01/1995 to 30/6/1998 (average of two monitoring stations)
  7. Figure 2(e): Daily mean of FSP (24-hr average) from 01/01/1995 to 30/6/1998 (from Tsuen Wan monitoring stations)
  8. Figure 3(a): Daily hospital admissions due to respiratory diseases for all ages from 01/01/1995 to 30/06/1998
  9. Figure 3(a1): Daily hospital admissions due to respiratory diseases for < 15 years age from 01/01/1995 to 30/06/1998
  10. Figure 3(a2): Daily hospital admissions due to respiratory diseases for 15-64 age from 01/01/1995 to 30/06/1998
  11. Figure 3(a3): Daily hospital admissions due to respiratory diseases for 65-74 age from 01/01/1995 to 30/06/1998
  12. Figure 3(a4): Daily hospital admissions due to respiratory diseases for 75+ age from 01/01/1995 to 30/06/1998
  13. Figure 3(b): Daily hospital admissions due to COPD excluding asthma for all ages from 01/01/1995 to 30/06/1998
  14. Figure 3(c1): Daily hospital admissions due to asthma for all ages from 01/01/1995 to 30/06/1998
  15. Figure 3(c2): Daily hospital admissions due to asthma for < 15 years age from 01/01/1995 to 30/06/1998
  16. Figure 3(c3): Daily hospital admissions due to asthma for 15-64 age from 01/01/1995 to 30/06/1998
  17. Figure 3(d): Daily hospital admissions due to cardiac disease for all ages from 01/01/1995 to 30/06/1998
  18. Figure 3(d2): Daily hospital admissions due to cardiac disease for 15-64 age from 01/01/1995 to 30/06/1998
  19. Figure 3(d3): Daily hospital admissions due to cardiac disease for 64-75 age from 01/01/1995 to 30/06/1998
  20. Figure 3(d4): Daily hospital admissions due to cardiac disease for 75+ age from 01/01/1995 to 30/06/1998
  21. Figure 3(e): Daily hospital admissions due to IHD for all ages from 01/01/1995 to 30/06/1998
  22. Figure 3(e2): Daily hospital admissions due to IHD for 15-64 years age from 01/01/1995 to 30/06/1998
  23. Figure 3(e3): Daily hospital admissions due to IHD for 65-74 years age from 01/01/1995 to 30/06/1998
  24. Figure 3(e4): Daily hospital admissions due to IHD for 75+ years age from 01/01/1995 to 30/06/1998
  25. Figure 4(a): Daily hospital deaths due to respiratory diseases for all ages from 01/01/1995 to 30/06/1998
  26. Figure 4(b): Daily hospital deaths due to circulatory diseases for all ages from 01/01/1995 to 30/06/1998
  27. Figure 5(a): Diagnostic plots of core model of hospital admissions due to respiratory diseases for all ages in 1995-97
  28. Figure 5(a1): Diagnostic plots of core model of hospital admissions due to respiratory disease for 0-14 years age in 995-97
  29. Figure 5(a2): Diagnostic plots of core model of hospital admissions due to respiratory disease for 15-64 years age in 1995-97
  30. Figure 5(a3): Diagnostic plots of core model of hospital admissions due to respiratory disease for 65-74 years age in 1995-97
  31. Figure 5(a4): Diagnostic plots of core model of hospital admissions due to respiratory disease for 75+ years age in 1995-97
  32. Figure 5(b): Diagnostic plots of core model of hospital admissions due to COPD excluding asthma for all ages in 1995-97
  33. Figure 5(c): Diagnostic plots of core model of hospital admissions due to asthma for all ages in 1995-97
  34. Figure 5(c1): Diagnostic plots of core model of hospital admissions due to asthma for 0-14 years age in 1995-97
  35. Figure 5(c2): Diagnostic plots of core model of hospital admissions due to asthma for 15-64 years age in 1995-97
  36. Figure 5(d): Diagnostic plots of core model of hospital admissions due to cardiac diseases for all ages in 1995-97
  37. Figure 5(d2): Diagnostic plots of core model of hospital admissions due to cardiac diseases for 15-64 years age in 1995-97
  38. Figure 5(d3): Diagnostic plots of core model of hospital admissions due to cardiac diseases for 65-74 years age in 1995-97
  39. Figure 5(d4): Diagnostic plots of core model of hospital admissions due to cardiac diseases for 75+ years age in 1995-97
  40. Figure 5(e): Diagnostic plots of core model of hospital admissions due to IHD for all ages in 1995-97
  41. Figure 5(e2): Diagnostic plots of core model of hospital admissions due to IHD for 15-64 years age in 1995-97
  42. Figure 5(e3): Diagnostic plots of core model of hospital admissions due to IHD for 65-74 years age in 1995-97
  43. Figure 5(e4): Diagnostic plots of core model of hospital admissions due to IHD for 75+ years age in 1995-97
  44. Figure 6(a): Diagnostic plots of core model of hospital deaths due to respiratory diseases for all ages in 1995-97
  45. Figure 6(b): Diagnostic plots of core model of hospital deaths due to cardiovascular diseases for all ages in 1995-97
  46. Figure 7(a): Daily number of hospital admissions due to respiratory disease for all ages as observed in 1998 in comparison to the numbers predicted by 1995-97 models
  47. Figure 7(b): Daily number of hospital admissions due to COPD excluding asthma for all ages as observed in 1998 in comparison to the numbers predicted by 1995-97 models
  48. Figure 7(c): Daily number of hospital admissions due to asthma for all ages as observed in 1998 in comparison to the numbers predicted by 1995-97 models
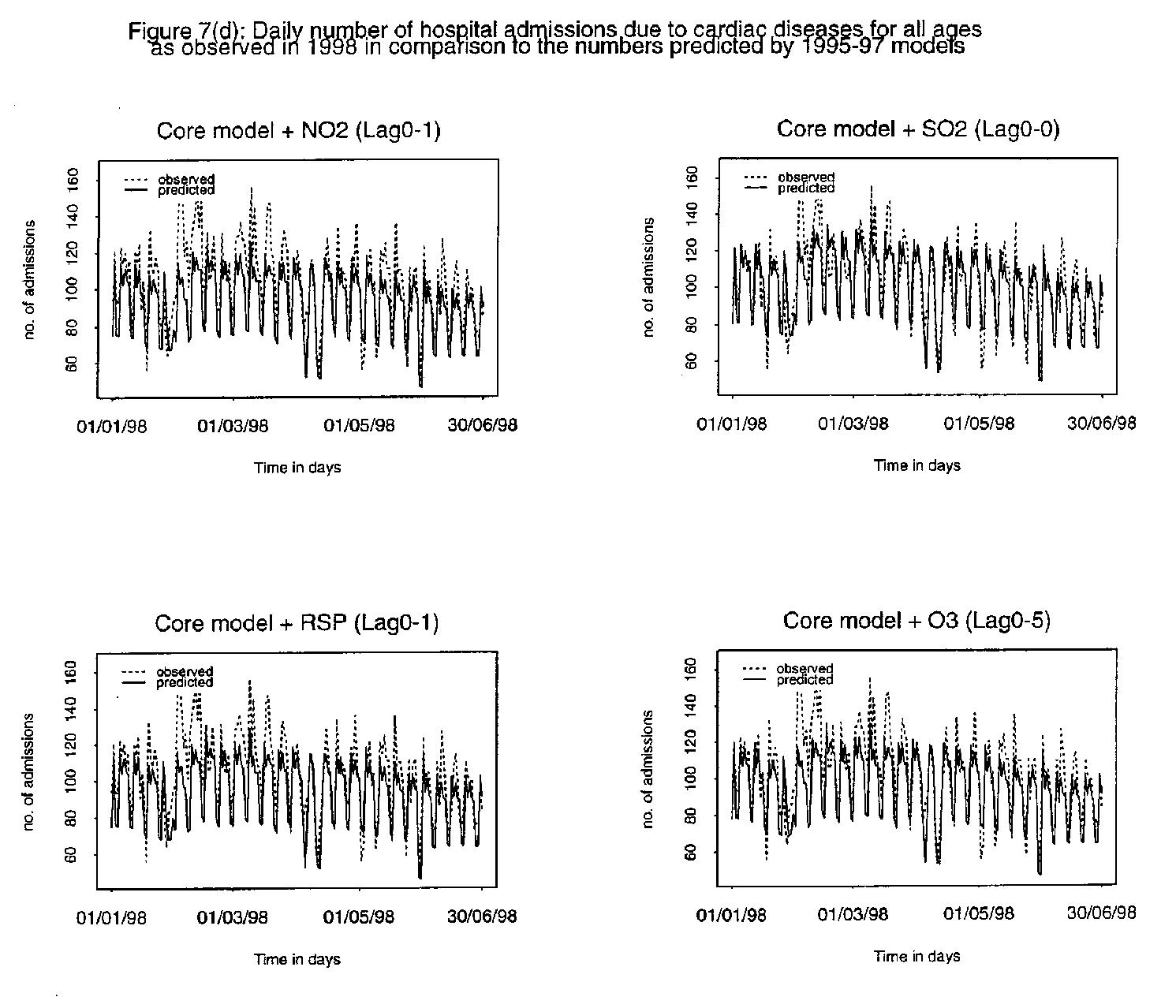
  49. Figure 7(d): Daily number of hospital admissions due to cardiac diseases for all ages as observed in 1998 in comparison to the numbers predicted by 1995-97 models
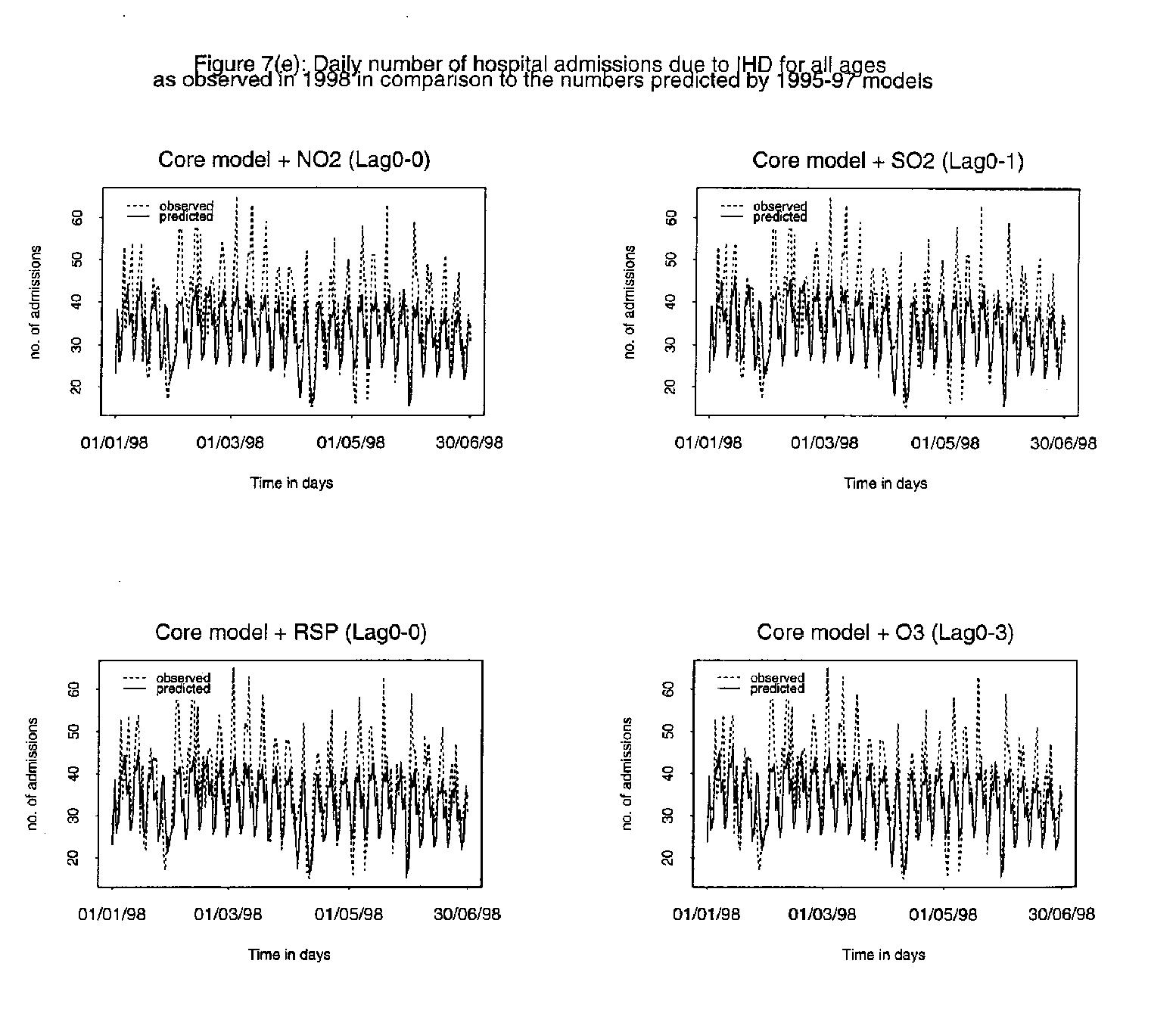
  50. Figure 7(e): Daily number of hospital admissions due to IHD for all ages as observed in 1998 in comparison to the numbers predicted by 1995-97 models
  51. Figure 8(a): Daily number of hospital deaths due to respiratory diseases for all ages as observed in 1998 in comparison to the number predicted by 1995-97 models
  52. Figure 8(b): Daily number of hospital deaths due to cardiovascular diseases for all ages as observed in 1998 in comparison to the number predicted by 1995-97 models
Back to topdot_clear.gifBackTable of ContentNext