香港特別行政區政府 環境保護署
香港品牌形象
搜尋 網頁指南 聯絡我們
圖像
主頁
環評與規劃
環境影響評估條例
網上環評
關於環評與規劃
策略性環境評估
環境管理工具
指引與參考資料
搜尋此部份
環境保護互動中心 部門刊物 環保標準及統計資料
空氣 廢物 環評與規劃
噪音 水質 環境保育
空白 主目錄 空白

研究報告

Figure 3.4e

Figure 3.4e

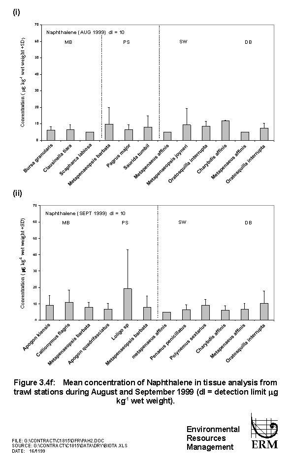
Figure 3.4f

Figure 3.4f

 

Back to topBack

 

   
 
2005 版權標誌| 重要告示

最近修訂日期: 二零零五年十二月二十二日